Помощь по скриптам | Помогу с кодом и скриптами
Angry Cat (25.11.2019 в 11:12)
d1nka, what?
$var = 10;
while(25):
$var /= 4;
echo $var.'<br/>';
endif;
d1nka, what?
$var = 10;
while(25):
$var /= 4;
echo $var.'<br/>';
endif;
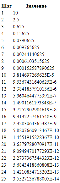
вот сынок тебе верный и рабочий код.)
php
<table>
<tr>
<th>Шаг</th>
<th>Значение</th>
</tr>
<?
$i = 1;
for ($var = 10; $i < 26; $var = ($var / 4)) {
?>
<tr>
<td><?=$i?></td>
<td><?=$var?></td>
</tr>
<?
$i++;
}
?>
</table>------
Скачиваний: 141
d1nka, а ну я не правельно понял да и не особо думал а так благодарю мб пригодится :)
d1nka (25.11.2019 в 11:30)
щас сынок мой тебе нормальный и верный вариант напишу
щас сынок мой тебе нормальный и верный вариант напишу
Зачем все эти вы*боны?

Человек создал тему с бесплатной помощью , быть может такое, что с уровнем его знаний он поможет новичку.
TheWilf, +
TheWilf, конкуренцию чуят гг
d1nka (25.11.2019 в 11:33)
вот сынок тебе верный и рабочий код.)[hljs class="php"] <table> <tr> <th>Шаг</th> <th>Значение</th> </tr> <? $i = 1;for ($var = 10; $i < 26; $var = ($var / 4)) { ?> <tr> <td><?=$i?></td> <td><?=$var?></td> </tr> <? $i++;} ?></table>[/hljs
вот сынок тебе верный и рабочий код.)[hljs class="php"] <table> <tr> <th>Шаг</th> <th>Значение</th> </tr> <? $i = 1;for ($var = 10; $i < 26; $var = ($var / 4)) { ?> <tr> <td><?=$i?></td> <td><?=$var?></td> </tr> <? $i++;} ?></table>[/hljs
Да я делал кст такое ) таблицу вывода наград)
DELETED
25 ноября 2019, в 15:04
Delete
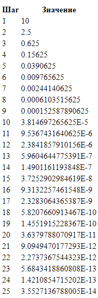
php
$array = array_map(function($base) {
return 10 * pow(4, -1 * $base);
}, range(1, 25));
echo '<pre>' . print_r($array, true) . '</pre>'; // смотрим, что у нас в $array
/*Array
(
[0] => 2.5
[1] => 0.625
[2] => 0.15625
[3] => 0.0390625
[4] => 0.009765625
[5] => 0.00244140625
[6] => 0.0006103515625
[7] => 0.000152587890625
[8] => 3.814697265625E-5
[9] => 9.5367431640625E-6
[10] => 2.3841857910156E-6
[11] => 5.9604644775391E-7
[12] => 1.4901161193848E-7
[13] => 3.7252902984619E-8
[14] => 9.3132257461548E-9
[15] => 2.3283064365387E-9
[16] => 5.8207660913467E-10
[17] => 1.4551915228367E-10
[18] => 3.6379788070917E-11
[19] => 9.0949470177293E-12
[20] => 2.2737367544323E-12
[21] => 5.6843418860808E-13
[22] => 1.4210854715202E-13
[23] => 3.5527136788005E-14
[24] => 8.8817841970013E-15
)*/
На флудили в теме))
без выебонов никак. Ясно ведь написано, что автор бесплатно собирается помогать новичкам, а не просить по 100 р. за строчку кода.
________
посл. ред. 25.11.2019 в 23:01; всего 1 раз(а); by AMD
________
посл. ред. 25.11.2019 в 23:01; всего 1 раз(а); by AMD
Стр.: 1, 2
